exo BCN-PEG3-Amine,CAS号1841134-72-2,异构双功能连接剂
exo BCN-PEG3-Amine,西安齐岳生物专业供应高质量科研试剂,可提供产品合成定制。
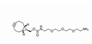
结构式:

外观油状
分子量368.47
溶解度DMF and DMSO
CAS号1841134-72-2
质量控制90%
储存条件-20度
保存时间6个月
描述:
BCN-PEG3-胺(endo)是一种含BCN部分的异构双功能连接剂,用于点击化学和伯胺。
由于BCN与叠氮化物的高反应性和高亲水性,与其他所有无金属点击化学探针相比,BCN是水性生物结合的理想选择。
优良的生物相容性-菌株促进的点击反应在温和的缓冲条件下迅速发生,不需要辅助有毒的铜催化剂
高化学选择性——叠氮化物和BCN基团不会与生物样品中发现的其他官能团发生反应或干扰,而是高效地相互结合
亲水性PEG3间隔剂-减少聚集,大限度地减少空间障碍,并提高溶解度
西安齐岳生物是国内知名的修饰性PEG试剂供应商,我公司可以提供各种高分子修饰性PEG,分子量从1000-20000不等,涉及十几个基团,同时我公司新推出了单分散的小分子量PEG/PEO衍生物,PEG/PEO的重复单元从2个-24个不等,产品纯度高达98%以上。
相关产品:
| BCN-PEG3-AMINE (ENDO) | 1883512-27-3 | 油 |
| BCN-PEG5-AMINE (ENDO) |
| 无色油 |
| BCN-PEG3-MAL (ENDO) | 2141976-33-0 | 无色液体 |
| BCN-PEG4-HYDRAZIDE (EXO) |
| 无色油 |
| BCN-PEG3-AMINE (EXO) | 1841134-72-2 | 无色油 |
| BCN-PEG5-AMINE (EXO) |
| 无色油 |
| BCN-PEG5-MAL (ENDO) |
| 无色油 |
| BCN-PEG3-MAL (EXO) |
| 无色油 |
| BCN-PEG4-NHS (ENDO) |
| 无色油 |
| BCN-BIOTIN (EXO) |
| 白色固体 |
| BCN-PEG4-ACID (ENDO) | 1881221-47-1 | 无色油 |
| BCN-PEG4-ALKYNE (EXO) |
| 油 |
| BCN-PEG3-OXYAMINE (EXO) |
| 无色油 |
| BCN-PEG4-HYNIC (EXO) |
| 无色油 |
| BCN-PEG3-BIOTIN (ENDO) |
| 白色蜡质 |
| BCN-PEG3-OTS (ENDO) |
| 无色油 |
| BCN-PEG3-OH (EXO) |
| 无色油
|
| BCN-PEG3-F (ENDO) |
| 无色油 |
技术指南:
1.提供产品的单价,产品规格,型号,价格条款,原产地
2.提供样品,小包装订购量,交货期,包装方式,质量/安全认证信息;
3.提供使用说明书、核磁图谱、合成路线;制备方案、合成步骤等技术信息请咨询客服。
温馨提示:西安齐岳生物供应产品仅用于科研,不能用于人体(zhn2020.09.29)