来宝网 2023/1/12点击478次
正畸牙齿移动作为一种矫正错位牙齿的治疗手段,如果不使牙周组织的结构成分(包括牙龈、牙周韧带 (PDL)、牙骨质和牙槽骨)暴露在各种类型的压力下,就无法诱导。由于其作为牙齿和骨骼之间连接的核心元素的位置和功能,PDL,特别是其主要的细胞类型,PDL成纤维细胞,在适应压力方面起着关键作用。
正畸牙齿移动是通过对牙周膜施加机械应力引起的,这导致细胞和组织的局部生物力学应变,随后是无菌炎症,涉及炎性细胞因子的释放,主要是白细胞介素-1(IL-1β)。少量 IL-1β已被证明有益于牙周重塑,包括伤口愈合,而 IL-1β 过量生成已被证明在牙周疾病病因中起作用。
研究表明,自噬是PDL成纤维细胞压力调节的关键过程。此外,炎症细胞因子IL-1β 也以剂量依赖性方式调节自噬相关基因,表明自噬在牙周炎症中起重要作用。自噬受到多种信号通路的调节。其中最关键的是哺乳动物雷帕霉素(mTOR)信号通路靶点,该信号通路抑制自噬。上游的磷脂酰肌醇3-激酶/丝氨酸/苏氨酸蛋白激酶Akt(PI3K/AKT)是mTOR的重要调节通路。在下游,mTOR与真核细胞翻译启始因子4E结合蛋白1(4E-BP1)和70-kDa核糖体蛋白S6激酶(P70S6K)相互作用,促进蛋白质合成。
因此,德国波恩大学正畸系、雷根斯堡大学医学中心正畸科、美因茨大学约翰内斯·古腾堡大学医学中心的一项联合研究探讨了不同程度的机械压力和炎症刺激是如何影响PDL成纤维细胞的自噬活性的,此外还分析mTOR通路是否受到不同程度的压力或炎症刺激的影响。

机械压力和炎症刺激对自噬的影响
首先,在机械和炎症刺激 PDL成纤维细胞4、16或24小时后,分析测量自噬体的积累(图1 a-c)。
结果表明,机械压力为 4、6 和 8 g/cm2持续4小时导致荧光强度显著增加近2倍,而2 g/cm2的压力没有显著改变荧光强度。压力加载16小时后,与对照细胞相比,所有测试压力水平均显著增加荧光强度。8 g/cm2组的荧光强度增加了3倍以上。然而,24小时后,施加8 g/cm2的最大压力不再增强荧光强度;2、4和6 g/cm2的较低压力量级仍显示荧光强度显著增加(图1 b)。
有趣的是,用 0.1 ng/mL IL-1β进行炎症刺激4 h可使荧光强度显著降低 25% 以上,而浓度为1 ng/mL则没有任何显著影响。然而,浓度为10 ng/mL IL-1β的浓度在同一时间范围内使荧光强度增加了25%以上。当PDL成纤维细胞在炎症条件下培养16和24小时时,所有评估的IL-1β浓度均显著提高荧光强度(图1 c)。

图1
(a) 对于 FACS 分析,定义并设置了决定性细胞群,如左图所示。在y轴上,显示了最大荧光事件的百分比(右图)。(b)荧光显示,在2、4、6或8 g/cm2或无压力处理4、16或24 h后,自噬体积累的影响。自噬通量通过氯喹处理中断。(c)用0.1、1.0或10 ng/mL IL-1β处理4、16或24小时或不处理后,荧光显示对自噬体积累的影响。自噬通量通过氯喹处理中断。
机械压力和炎症刺激对mTOR信号通路的影响
总体而言,由于机械压力或炎症刺激,磷酸化蛋白的比例比非磷酸化蛋白的比例更大。2 g/cm2 的压力刺激(代表正畸牙齿移动期间的生理条件)比应激条件下(即超负荷和炎症)引起的比率变化要小。
AKT磷酸化的平衡在生理负荷条件下转向降低磷酸化。压力过载增加了磷酸化位点Ser124上的AKT1磷酸化比例,但对磷酸化位点Tyr474上的AKT1磷酸化有不利影响。炎症使磷酸化位点 AB-124 和 AB-450 上的 AKT1 磷酸化比例升高。然而,与对照组相比,磷酸化和非磷酸化蛋白AKT的倍数变化显示出总体下调。与对照组相比,mTOR蛋白的变化也低于0.75倍。
上游,非磷酸化和磷酸化的PI3K的平衡在压力过载或炎症刺激后转向磷酸化。在下游,在不同的结合位点评估多种蛋白质,如4E-BP1和P70S6K。压力为 2 g/cm2 导致磷酸化位点Thr45上的4E-BP1磷酸化水平降低,而IL-1β增加了4E-BP1的比例。磷酸化位点Ser418上的P70S6K磷酸化的倍数变化在所有治疗组中均增加了1.6倍以上。
机械压力和炎症刺激对胶原蛋白1 基因表达的调控
mTOR的激活控制蛋白质合成。因此,在刺激24小时后评估胶原蛋白1的基因表达,胶原蛋白1是PDL成纤维细胞产生的细胞外基质的最重要成分。雷帕霉素处理后抑制mTOR显著降低胶原1基因表达。此外,各种程度的机械压力显著降低了胶原蛋白1的基因表达,在4 和 6 g/cm2 的压力组中,降低了 75% 以上。中等浓度 IL-1β 的炎症刺激也导致胶原蛋白1的基因表达降低 50% 以上。然而,低浓度和高浓度的 IL-1β 处理对胶原1基因表达没有显著影响(图2 a)。

图2
(a)2、4、6、8 g/cm2的压力或0.1、1.0、10 ng/mL 浓度的IL-1β对24 h后I型胶原蛋白基因表达的影响。未处理的细胞作为对照。雷帕霉素处理抑制mTORC1作为阴性对照。(b)2、4、6、8 g/cm2的压力或0.1、1.0、10 ng/mL 浓度的IL-1β对24 h后对Ki67基因表达的影响。未处理的细胞作为对照。雷帕霉素处理抑制mTORC1作为阴性对照。
机械压力和炎症刺激对增殖标记物Ki67基因表达的影响
细胞命运通路mTOR调节细胞增殖。因此,在机械压力和炎症刺激后,分析了细胞增殖特异性标志物 Ki67的基因表达。雷帕霉素对mTORC1的抑制导致Ki67基因表达减少。生理压力为 2 g/cm2对Ki67基因表达有不良影响,并诱导Ki67表达上调近 50%。更高的压力幅度为 4 和 6 g/cm2时下调Ki67的基因表达。有趣的是,压力为 8 g/cm2 对2Ki67基因表达无显著影响(图2 b)。低浓度IL-1β处理没有改变 Ki67 基因表达,而较高浓度的1和10 ng/mL IL-1β处理使Ki67基因表达显著降低了40% 以上(图2 b)。
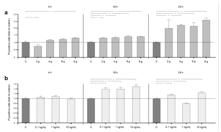
机械压力和炎症刺激对细胞死亡的影响
细胞死亡由mTOR通路决定,与自噬密切相关。通过FACS分析鉴定碘化丙啶(PI)阳性细胞。
有趣的是,应用2 g/cm2 的压力持续24小时可显著降低20% 以上的细胞死亡,因此其具有细胞保护作用。16小时后,相同的压力显著增加PI阳性细胞。用 2g/cm2压力处理24小时,与对照组相比,并没有显著改变PI阳性细胞的数量。加压4小时后,仅8 g/cm2的高幅度压力能显著诱导细胞死亡 20% 以上,而4和6 g/cm2的压力对死亡细胞数量无显著影响。然而,在用4、6和8 g/cm2的压力持续16和24小时后,死亡细胞数量显著增加2倍以上(图3 a)。
炎症刺激4小时没有改变细胞死亡率。与对照相比,在炎症条件下培养16小时导致死亡细胞数量增加 25% 以上。有趣的是,24小时后,低浓度和高浓度IL-1β提高了细胞死亡数,而与对照组相比,中等浓度的IL-1β减少了死亡细胞的数量(图3 b)。

图3 (a)用2,4,6或8 g/cm2的压力持续4,16或24小时或无压力无氯喹处理后,荧光显示对细胞死亡的影响。(b)用0.1、1.0或10 ng/mL IL-1β处理4、16或24小时或无氯喹处理后,荧光表示对细胞死亡的影响。
综上所述,该研究结果为PDL成纤维细胞在机械压力和炎症刺激后的自噬活动提供了新的见解。应激刺激的自噬反应是剂量和时间依赖性的。一般来说,自噬是由应激刺激诱导的,而短暂应用低压或低IL-1β浓度不会影响或减少自噬。此外,mTOR通路还受到生理压力、过载和炎症刺激的影响。研究结果还表明,mTOR信号通路对机械压力和炎症应激后自噬活性的影响。通过蛋白质合成、增殖和细胞死亡分析,机械压力和炎症刺激的影响也可以通过细胞命运的变化检测到。细胞死亡受到机械压力和炎症刺激的调节。有趣的是,生理压力为 2 g/cm2 时甚至可以发挥保护作用,而过载会增加死亡细胞的数量。关于炎症刺激诱导细胞死亡,治疗持续时间似乎比IL-1β浓度更重要。
参考文献:Blawat K, Mayr A, Hardt M, Kirschneck C, Nokhbehsaim M, Behl C, Deschner J, Jäger A, Memmert S. Regulation of Autophagic Signaling by Mechanical Loading and Inflammation in Human PDL Fibroblasts. Int J Mol Sci. 2020 Dec 11;21(24):9446. doi: 10.3390/ijms21249446. PMID: 33322510; PMCID: PMC7763506.
原文链接:https://pubmed.ncbi.nlm.nih.gov/33322510/
小编旨在分享、学习、交流生物科学等领域的研究进展。如有侵权或引文不当请联系小编修正。
微信搜索公众号“Naturethink”,了解更多细胞体外仿生培养技术及应用