来宝网 2025/12/10点击175次
背景
可穿戴下肢辅助设备的运动意图识别与关节控制依赖人体步态的定量认知,但传统标记点式光学运动捕捉系统虽为步态测量金标准,却受限于实验室场景,且存在设备昂贵、准备繁琐等问题;无标记光学捕捉精度不足且易受环境干扰,惯性捕捉有误差累积和固定不稳的弊端,传统关节测角仪也因绑带移位影响数据可靠性。
近日,阿拉巴马大学等机构的研究团队研发出一款基于轻型外骨骼的便携式步态数据采集系统,为可穿戴下肢辅助设备的运动意图识别与关节控制提供了精准的步态数据支撑。研究成果发表于《Sensors》,题为《A Lightweight Exoskeleton-Based Portable Gait Data Collection System》。该团队设计了一款集成多模态传感器的轻型外骨骼,并比较了该外骨骼在多种动作中收集的膝、踝关节角度,与同步测量的Vicon光学运动捕捉系统的基准数据,结果显示,外骨骼测量的膝、踝关节角度与基准数据高度吻合,相关系数分别达0.98和0.96,且能精准识别足跟触地、脚尖离地等关键步态事件。这一系统突破了传统步态采集的场景限制,兼具高精度与便携性,为可穿戴辅助设备控制器研发及临床步态评估提供了重要技术工具。

文章信息
研究方法
该研究为解决传统步态数据采集手段的场景局限与精度缺陷,首先开展了轻型外骨骼的机械结构设计,其外骨骼分为大腿、小腿、足部三段,通过创新的2-DOF关节连接,该关节集成了搭载绝对磁编码器的主测量自由度和保障自然关节活动的被动自由度,同时采用5mm厚可塑形铝杆连接关节,配备约7.6cm范围的高度调节结构及大腿、小腿铝制绑带与织带扣具,还将踝关节与碳纤维足部段相连固定于鞋底,实现不同身高人群适配与传感器稳定贴合。

图1. (a) 测量外骨骼系统 2-DOF关节的分解图(为右腿开发)(b) 高度调节结构的详细视图
随后搭建了多模态传感器与数据采集系统,在2-DOF关节内置AS5145旋转磁编码器测量膝、踝关节角度,鞋底嵌入FS406力敏电阻监测足跟与前脚掌压力,大腿和小腿段各安装1个MPU-9250型9-DOF惯性测量单元获取肢体三维运动数据,并以STM32L476RG型ARM处理器为核心,搭配300mAh锂聚合物电池、16GB微型SD卡及微型USB接口,构建了支持1kHz采样率的多设备时间同步数据采集模块。

图2. 传感器和数据采集板的放置

图3. 传感器接口和数据采集电子设备
为验证系统性能,研究选取3名无生理和认知异常的健康志愿者,在8镜头Vicon光学运动捕捉系统实验室中,让志愿者先适应设备5-10分钟,再依次完成5次坐站/站坐转换、自选步速平地行走、0.5-1.25m/s梯度及渐进加速跑步机行走等动作。全程同步录像并标记动作时间节点,实验后收集志愿者穿戴反馈。

表1. 志愿者的详细信息

图4. 测量外骨骼原型
数据处理阶段,对Vicon采集数据采用10Hz截止频率的四阶零相位滞后巴特沃斯低通滤波,对外骨骼传感器数据先通过MATLAB脚本去噪,再用10Hz截止频率的二阶巴特沃斯低通滤波,以此完成系统性能的验证与数据校准。
实验结果
本研究的结果部分围绕外骨骼步态数据采集系统的关节角度测量精度、步态事件检测能力和三维运动信息采集效果三个核心维度展开验证,具体如下:
1. 踝关节角度测量
在跑步机上行走时,外骨骼测得的踝关节角度与Vicon光学运动捕捉系统基准数据的相关系数达0.96,误差可忽略。

图5. 步行时外骨骼踝关节角度测量与参考动作捕捉的比较
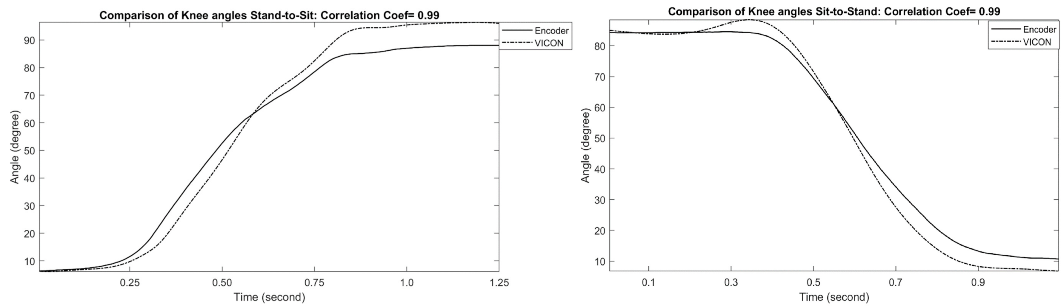
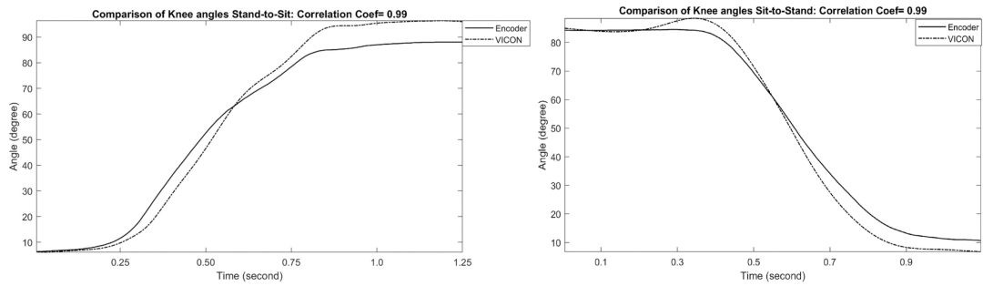
平地行走、不同跑步机速度下行走等情况,3名受试者的测量数据与基准数据相关系数均在0.95-0.97区间,平均为0.96;在站坐、坐站转换动作中,二者相关系数更是高达0.98-0.99,匹配度极佳,充分证明了踝关节角度测量的准确性。

表2. 踝关节角度测量比较总结(外骨骼与 Vicon)

图6. 从站到坐(左)和从坐到站(右)活动期间测得的踝关节角度与参考运动捕捉系统的比较
膝关节角度测量
在跑步机上行走时,外骨骼膝关节角度测量与基准数据的相关系数为0.98,尤其在步态支撑初期偏差极小。

图7. 步行时外骨骼膝关节角度测量与参考动作捕捉的比较
在平地行走、梯度/渐进加速跑步机行走等场景中,3名受试者的相关系数稳定在0.95-0.97,平均为0.96;在站坐、坐站转换动作中,相关系数达到0.98-0.99,整体测量精度与踝关节相当。

表3. 膝关节角度测量比较总结(外骨骼与 Vicon)

图8. 从站到坐(左)和从坐到站(右)活动期间测得的膝关节角度与参考运动捕捉系统的比较
3. 步态事件检测
图9上图和下图分别展示了足跟传感器与足趾传感器的响应情况,和对应的踝关节和膝关节运动轨迹。通常,一个步态周期可划分为两个阶段:支撑相(stance phase)和摆动相(swing phase)。支撑相是足部与地面保持接触的阶段,约占步态周期的 60%;而剩余 40% 则为摆动相。通过足跟和足底嵌入的力敏电阻(FSR),可有效识别出4个关键步态事件:(A)初始足跟触地(步态支撑相起点)、(B)前脚掌触地、(C)蹬地、(D)脚尖离地(支撑相与摆动相的转换点)。同时,外骨骼的踝关节和膝关节角度也能识别出上述4个步态事件(但是没有与力学数据做量化精度对比)。

图9. 力传感电阻器在重要步态事件中的响应,以及相应的踝关节和膝关节轨迹。
(A)初始地面接触事件,(B) 前脚接触事件,(C) 蹬离事件和 (D) 脚趾离地事件
4. 三维运动信息采集
外骨骼大腿和小腿段的惯性测量单元(IMU)可稳定输出肢体运动过程中的三维加速度与角速度数据,无论是常规行走还是站坐/坐站转换动作,均能有效捕捉下肢的三维运动学特征,展示了 “不同运动模式下 IMU 信号的差异特征”—— 例如行走时大腿 / 小腿的加速度与角速度呈现周期性波动(契合步态周期的重复性),而坐站转换时信号呈现非周期性的峰值变化(对应动作的过渡性),间接验证了 IMU 能捕捉运动模式的本质差异(同样没有做准确性量化分析)。

图10. 步行期间外骨骼惯性测量单元 (IMU) 的响应

图11. 从坐到站/从站到坐运动期间外骨骼 IMU 响应
结论
本研究通过研发轻型外骨骼便携式步态采集系统,并与金标准光学运动捕捉系统对标,确立了该系统在步态数据采集中的核心价值。研究证实,系统创新的2-DOF关节可兼顾测量精度与穿戴舒适性,其测得的膝关节、踝关节角度与基准数据相关系数分别达0.98和0.96,还能精准识别足跟触地、脚尖离地等关键步态事件,同时实现关节角度、三维运动、足底压力多模态数据同步采集,性能显著优于传统单一传感器方案。
这项工作不仅验证了外骨骼作为便携步态测量工具的可行性,还构建了从机械结构设计到多源数据同步的完整技术框架。随着可穿戴设备小型化与算法迭代,该研究打破了传统步态采集的实验室场景局限,为其向真实生活场景拓展奠定基础,也为可穿戴下肢辅助设备研发和临床步态评估迈向精准化、个性化新阶段提供了关键技术支撑。
原文信息链接
Haque M R, Imtiaz M H, Kwak S T, et al. A lightweight exoskeleton-based portable gait data collection system[J]. Sensors, 2021, 21(3): 781.
DOI: 10.3390/s21030781
研究团队介绍
本文作者为Md Rejwanul Haque、Masudul H. Imtiaz等,均来自阿拉巴马大学。
关于维拓启创
维拓启创(北京)信息技术有限公司成立于2006年,是一家专注于脑科学、康复工程、人因工程、心理学、体育科学等领域的科研解决方案供应商。公司与国内外多所大学、研究机构、企业长期保持合作关系,致力于将优质的产品、先进的技术和服务带给各个领域的科研工作者,为用户提供有竞争力的方案和服务,协助用户的科研工作,持续提升使用体验。
相关产品





Advictor
了解更多产品详情,投稿发布
与合作,欢迎扫码咨询。