来宝网 2025/12/2点击156次
引言/背景介绍
神经支配区(IZ)是运动神经元末梢与肌纤维接触的关键解剖部位,其准确定位对基础研究和临床应用(如指导肉毒毒素注射)至关重要。由线性阵列或通道矩阵记录的表面肌电信号已被广泛用于估计 IZ 位置。互相关分析、 RMS 幅度分析等现有方法大多依赖于双极信号,易受噪声影响,且处理单机信号的方法较少。因此,开发一种基于单极高密度表面肌电 (EMG) 信号的、自动化且鲁棒的 IZ 定位新方法尤为重要。
来自山东青岛健康与康复科学大学康复科学与工程学院的周平团队在《IEEE Transactions on Neural Systems and Rehabilitation Engineering》上发表了题为“A Novel Muscle Innervation Zone Estimation Method Using Monopolar High Density Surface Electromyography”的文章,提出了一种利用单极高密度表面肌电图 (EMG) 信号,通过分析主成分分析 (PCA) 的第二主成分 (PC2) 系数来定位肌肉神经支配区的新方法。其核心原理是,PC2 系数与不同通道的信号时间延迟近似线性相关,而 IZ 区域的通道具有最短的时间延迟。通过模拟和实验验证,该方法在信噪比(SNR )低至 5dB时仍能保持80% 以上的准确率,并且在特定通道被污染的情况下,表现出优于传统互相关和 均方根(RMS )方法的鲁棒性。在对 9 名健康受试者的实验中,该方法与互相关法的结果高度一致,平均差异仅为0.47 ± 0.4 个电极间距 (IED)。

文章信息
研究方法
技术路线
图1展示了整体技术流程:
1) 标准化:将 M×N 的 EMG 信号矩阵(M 个通道,N 个样本)进行零均值和单位方差处理;
2) 主成分分析 (PCA):对标准化后的信号进行 PCA 分解;
3) 提取 PC2 系数:提取第二主成分(PC2)对应的系数向量;
4) 定位 IZ:对 PC2 系数沿电 极阵列行方向进行样条插值,插值曲线的最小值点即对应 IZ 的位置。

图1. 基于主成分分析第二主成分的肌肉IZ估计框架
实验设计与验证
仿真验证:采用 Fuglevand 运动神经元池模型和经典表面 EMG 模型,模拟了 120 个运动单位。采用40通道表面阵列(5x8,水平和垂直通道间距离为5 mm),测试了 IZ 位于不同行的 9 种情况(图2A和表1)。同时研究在两种不同情况下噪声对结果的影响,如下所示:
全局噪声:测试了 SNR 为 20, 15, 10, 5 dB 的情况;
局部污染:模拟了某一特定通道 (SNR = 0dB) 远差于其他通道 (SNR = 20dB) 的情况。

表1. 不同模拟中的模拟IZ位置
人体表面肌电实验 :选取9 名健康受试者 (28.9 ± 4.8 岁),采集其肱二头肌EMG信号。使用两个高密度电极阵列(图2B和2C),每个电极矩阵由64个通道组成,电极间距离(IED)为8mm,排列在5列乘13行的网格中(图2B和2C)。清洁皮肤后,平行于纤维方向将一个通道阵列放置在肱二头肌的外侧上,另一个通道阵列放置在内侧上,并用弹性带固定。在肘部放置接地电极。受试者背部完全靠在靠背上,前臂放置(所有情况下均为右侧)在定制的测力装置上(图2D)。

图2. A:模拟电极矩阵,由具有5列(平行于肌纤维方向定位)和8行的网格组成。B:实验信号的两个粘合剂2D矩阵的示意图。C:用于实验记录的高密度表面电极。D:实验装置的说明
主要结果
仿真结果
在全局噪声场景中,图3展示了在模拟电极阵列表面肌电信号的每一列中,当神经支配区(IZ)被模拟设定在第 4 行(Row4),通过PCA的第二主成分( PC2)来估算肌肉 IZ 的示例, PC2 系数的空间分布特征(图3 B和E,图4 B和E)与样条插值(图3 C和F,图4 C和F),直观呈现了 IZ 的定位。其中第一行设置 SNR=20dB(理想噪声),第二行设置 SNR=5dB(低噪声),两种条件可以作为对比,展示了 PC2 系数对 IZ 的定位能力。在 SNR=20dB 时,PC2 方法准确率达 93.0%;即使在 SNR=5dB 时,准确率仍保持在 80.8%。
图4则是把神经支配区(IZ)模拟设定在第 4 行和第5行之间,其余与图3一致。

图3. 在第4行模拟IZ时肌肉IZ估计的示例。A:当信噪比为20dB时,由主成分解释的方差。B:SNR为20dB时第2主成分系数的空间分布。C:当SNR为20dB时,来自第3列的第2主成分系数的样条插值。D:SNR为5dB时由主成分解释的方差。E:SNR为5dB时第2主成分系数的空间分布。F:当SNR为5dB时,来自第3列的第2主成分系数的样条插值

图4. 在第4行和第5行之间模拟IZ时的肌肉IZ估计示例。A:当信噪比为20dB时,由主成分解释的方差。B:SNR为20dB时第2主成分系数的空间分布。C:当SNR为20dB时,来自第3列的第2主成分系数的样条插值。D:SNR为5dB时由主成分解释的方差。E:SNR为5dB时第2主成分系数的空间分布。F:当SNR为5dB时,来自第3列的第2主成分系数的样条插值
表 2 以 “准确率” (即,IZ 定位准确率,即 “估算 IZ 位置与真实 IZ 位置一致” 的试验次数占总次数的比例,数值越高方法越可靠。) 和 “平均差异(IED,估算 IZ 位置与真实 IZ 位置的平均差值,单位为 “电极间距,数值越小定位精度越高。本实验电极间距,8mm)” 为核心指标,量化了三种方法(即,PCA:基于单极信号的第二主成分系数分析;Correlation:基于双极信号的互相关分析;RMS:基于双极信号的均方根幅度分析)在不同 SNR 下的表现,PCA的PC2方法在SNR 从 20dB 降至 5dB 时,准确率从 93.0% 降至 80.8%,平均差异从 0.05 IED 增至 0.10 IED,下降幅度平缓。即使在 SNR=5dB(强噪声)下,仍保持 80% 以上的准确率,远超 RMS 方法(13.0%),互相关法在高 SNR(20dB)时准确率略高(93.6% vs 93.0%),但低 SNR(5dB)时两者差距缩小(83.8% vs 80.8%),且平均差异仅差 0.02 IED(0.08 vs 0.10),说明 PC2 方法在全局噪声下已接近传统最优方法的性能。

表2. IZ估计精度和使用不同方法自动估计的IZ位置与真实IZ位置之间的平均差(IED)
在局部污染场景中,对比三种方法的抗干扰能力,是 PC2 方法鲁棒性的关键验证。图 5 展示了模拟 “列 3 中 Row3 通道严重污染(SNR=0dB)” 的极端场景。 PC2 系数最小值仍准确指向 Row4(预设 IZ 位置),未受 Row3 污染通道的影响。原因是 PC2 通过全局 PCA 分解,将局部噪声视为 “异常方差”,不影响对 “时间延迟差异” 这一核心特征的提取。因此,在局部通道严重污染时,PC2 方法不受干扰,而互相关法、RMS 法均出现明显偏差,凸显其在实际采集环境中的适用性。

图5. 当一个通道(第3行)被模拟为比单极配置中的其他通道污染更严重时,IZ估计结果。A:第二主成分系数分析估计了第4行的IZ,与模拟输入一致。B:互相关分析估计了第3行的IZ。C:RMS分析估计第4行和第5行之间的IZ
人体实验结果
为了验证仿真模拟结果的可靠性,选取9名健康被试进行肱二头肌MVC最大自主收缩试验,结果发现基于PC2系数的IZ定位方法与传统互相关法结果高度一致,平均差异仅 0.47 ± 0.4 IED,满足临床对 IZ 定位精度的需求,证明该方法在真实生理信号中有效。图6展示了PC2方法(图6A,D)和传统相关分析(图6B,E)方法定位IZ的位置比较接近。此外,图7和图8展示了当局部通道存在信号干扰时,PC2 法不受影响,仍能稳定定位 IZ;而互相关法易受局部干扰导致定位偏差,RMS 法稳定性差,这一优势解决了临床采集时 “局部电极接触不良、信号干扰” 等常见问题,提升了方法的实际应用价值。

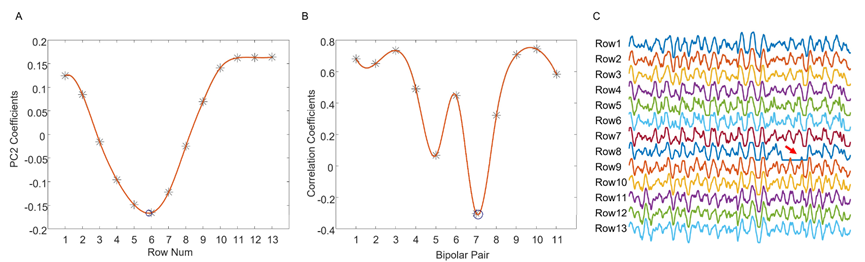
图6. 从实验高密度表面肌电信号估计肌肉IZ的一个例子。A:第二主成分系数的空间分布。对于每一列,最小系数位于第5或第6行附近,并且系数沿着纤维方向逐渐增加。B:相邻双极信号之间的互相关系数的分布。C:双极信号的均方根分布。D:第1列第2分量系数的样条插值。E.第1列互相关系数的样条插值。F:第1列的配对双极信号的均方根值

图7. 从第二基于主成分的分析获得的IZ位置(行6)和从基于互相关的分析获得的错误位置(行8)的示例。A:第2列第2主成分系数的样条插值。B:第2列互相关系数的样条插值。C:来自第二列的通道处的单极表面EMG信号。注意第8行一小部分的信号中断

图8. 从应用于实验性高密度sEMG的一列的不同方法估计的所有受试者的IZ位置的比较
结论与展望
本研究通过分析第二主成分系数(PC2),从单极高密度表面肌电信号中开发了一种新的肌肉IZ估计方法,经仿真与人体实验表明均有效。仿真中,信噪比(SNR)低至 5dB 时仍保持 80.8% 的准确率;人体实验中,对 9 名健康受试者肱二头肌最大自主收缩(MVC)信号分析,与传统互相关法结果高度一致,平均差异仅 0.47±0.4 个电极间距(IED,8mm),满足临床定位精度需求。在特定通道污染或局部信号干扰场景下,该方法表现出优于传统互相关法与均方根(RMS)法的抗干扰能力。此外,该方法具有创新性与实用性,首次实现基于单极 HD-sEMG 的 IZ 自动化定位,无需将信号转换为双极信号,避免转换过程中的信息丢失;整个分析流程可通过 MATLAB 自动化实现,无需人工调整参数,适用于临床批量数据处理,为 IZ 定位提供了高效、便捷的新工具。
未来可结合图像分割技术,对 PC2 系数空间分布进行多区域检测,实现多 IZ 与复杂形态 IZ 的识别;同时,构建包含复杂 IZ 形态的仿真模型,扩大训练数据维度,提升算法对非理想 IZ 结构的适应性。
原文信息链接
Huang C, Chen M, Zhang Y, et al. A Novel Muscle Innervation Zone Estimation Method Using Monopolar High Density Surface Electromyography. IEEE Transactions on Neural Systems and Rehabilitation Engineering, 2023, 31: 22-30.
DOI: 10.1109/TNSRE.2022.3215612
作者及单位介绍
该文章的作者为黄成军、Maoqi Chen、Yingchun Zhang、Sheng Li、Cliff S. Klein和周平(通讯作者),其中,黄成军就职于美国德克萨斯州休斯顿贝勒医学院神经科学系,Yingchun Zhang就职于休斯顿大学生物医学工程系,Sheng Li就职于德克萨斯大学健康科学中心(休斯顿)物理医学与康复系,Cliff S. Klein就职于广东省工伤康复中心,周平与Maoqi Chen就职于青岛大学健康医学院 康复科学与工程学院。
关于维拓启创
维拓启创(北京)信息技术有限公司成立于2006年,是一家专注于脑科学、康复工程、人因工程、心理学、体育科学等领域的科研解决方案供应商。公司与国内外多所大学、研究机构、企业长期保持合作关系,致力于将优质的产品、先进的技术和服务带给各个领域的科研工作者,为用户提供有竞争力的方案和服务,协助用户的科研工作,持续提升使用体验。
相关产品


Advictor
了解更多产品详情,投稿发布
与合作,欢迎扫码咨询。