来宝网 2025/10/11点击165次
引言/背景介绍
在当今社会,青少年心理健康问题越来越突出。数据显示:15–19 岁人群中,自杀是全球第四大死亡原因。大约 17–18% 的青少年一生中会出现非自杀性自伤(NSSI),比如用刀片划手臂,其中 30%-40% 还试过自杀。更严重的是,NSSI 常常是自杀未遂(SA)的前兆,平均提前 1.5 年。医生想判断自残的孩子会不会自杀,只能靠问你最近情绪怎么样,多大了等问题,准确率略高于随机水平。再者,很多孩子可能隐瞒想法,或者症状不明显,容易漏判或误判,难以满足从高风险群体中识别极高风险个体的临床刚需。能不能靠测身体里的一些指标(比如血液、唾液里的物质)来区分?这些指标或许更客观,也更靠谱。

近日,瑞士伯尔尼大学与德国海德堡大学团队在 Neuropsychopharmacology 发表了题为《A biological phenotype of suicide attempt in adolescents with nonsuicidal self-injury: a machine-based learning approach》的研究,揭示了通过机器学习结合生物学信号可更准确识别自残青少年的潜在自杀风险。

论文信息
研究方法
被试:
研究纳入德国海德堡大学医院 AtR!Sk 门诊队列中161 名女性 NSSI 青少年(12-17 岁),依据自杀未遂(SA)史分为两组:
非自杀性自伤+自杀未遂组(77 例):有至少 1 次终身自杀未遂史;
单纯非自杀性自伤组(84 例):无自杀未遂史。排除妊娠、急性精神病、内分泌 / 心血管疾病患者,仅选择女性样本以规避性别相关生物差异(如 HPG 轴激素分泌)对结果的干扰,样本基线特征显示 NSSI+SA 组年龄更大(均值 15.2±1.48 岁)、人格障碍比例更高(54.6%),与临床实际相符。
除了区分NSSI和SA,临床评估还包括抑郁症状评估(使用《儿童青少年抑郁量表》[DIKJ]);精神疾病诊断(通过《儿童青少年简明国际神经精神访谈》[Mini-Kid]评估,涵盖 F10-F19 [物质相关障碍]、F30-F39 [心境障碍]等类别),以及用药情况、吸烟、药物使用、出生日期等信息。
生物标志物:
研究摒弃 “全标志物无差别纳入” 的思路,基于既往文献筛选出8 种高关联度生物标志物(含血液、唾液样本),覆盖内分泌、免疫、自主神经三大系统(表1)。

表1. 生物标志物
分析方法:机器学习
采用 “多重插补(500 个数据集)+ 重复 5 折交叉验证(20 次重复)” 控制偏倚,对比 4 种机器学习模型性能:
-线性模型:逻辑回归、弹性网回归(含正则化变量选择);
-非线性模型:随机森林、梯度提升树(捕捉标志物间交互作用);
-以 ROC 曲线下面积(AUC)为核心评估指标,严格区分 “优秀(0.9-1.0)- 良好(0.8-0.9)- 尚可(0.7-0.8)- 较差(0.6-0.7)” 等级。
研究者设计了5 个预测集,包括①完整生物标志物组;②精简生物标志物组(8 个指标);③精简生物标志物组 + 抑郁症状;④精简生物标志物组 + 抑郁症状 + 年龄;⑤仅抑郁症状 + 年龄。
研究结果
1. 精简生物标志物组(8 个指标)显著优于全组,复杂模型略优
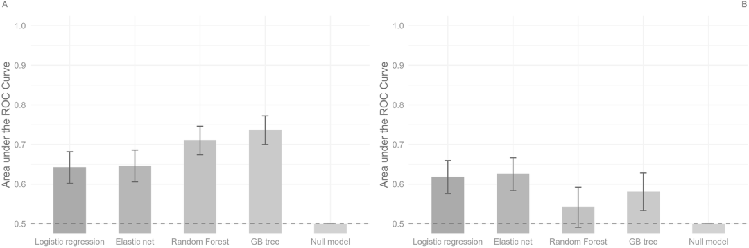
研究团队一开始测了很多指标(即全生物标志物,图 1B),但最后发现:只选 8 个关键指标(比如 DHEA-S、TSH、CRP 这些)组合起来分析(图 1A),反而最能分清 “试过自杀” 和 “没试过自杀” 的孩子。全生物标志物组(图 1B):AUC 仅 0.635-0.659(整体 “较差”),复杂模型(梯度提升树)仅 0.659,说明纳入过多无关指标(如 rfNIRS 血氧、rHRV)反而干扰判断。精简生物标志物组(图 1A)AUC 提升至 0.639-0.717(“较差 - 尚可”),其中梯度提升树达 0.717,是所有模型中最高。

图1. BoAUC值(0.5=随机,1=完美):精简生物标志物组(8 个指标, A)显著优于全生物组(B)NT - A治疗前后运动检测准确率
脱氢表雄酮硫酸盐 ( DHEA-S)和 促甲状腺激素(TSH)是区分NSSI和NSSI+SA的最强预测因子
图 1 已展示精简生物标志物有效,而 DHEA-S (高)、TSH(低)是该组的核心指标(表2),二者的预测价值是精简生物标志物组性能提升的关键。主要表现在:① 特征重要性:在 500 次数据验证中,DHEA-S 在逻辑回归模型里 237 次被列为 “最关键指标”,TSH 在梯度提升树模型里 263 次被列为 “最关键指标”,远超其他指标(如去甲肾上腺素仅 0 次、多巴胺0次);② 风险关联:DHEA-S 水平每升高 1 单位,孩子试过自杀的风险增加 47%(OR=1.47,95% CI:1.04-2.09);TSH 水平每降低 1 单位,自杀风险增加 32%(OR=0.68,95% CI:0.48-0.97)—— 这两个指标的影响稳定且突出,是识别高自杀风险的核心线索。

表2. 采用精简生物标志物及抑郁症状,区分有非自杀性自伤且有自杀企图(NSSI + SA)的女性患者与仅存在非自杀性自伤(NSSI)的女性患者的逻辑回归结果及变量重要性
注:DHEA-S:是一种 “性激素前体”—— 身体会把它转化为雄激素(如睾酮)或雌激素,是青春期发育的关键激素之一。TSH: 是一种调节性激素,本身不直接发挥作用,而是像 “小开关” 一样,指挥甲状腺工作
加入抑郁症状和年龄,模型性能不变,生物标志物有独立价值
精简生物标志物组 + 抑郁症状 + 年龄(图 2A)模型:AUC 仍保持 0.690-0.717,与图 1B(仅精简生物标志物组)几乎一致,没有明显变化;这说明即使控制 “情绪差”“年龄大” 这些因素,DHEA-S、TSH 等生物标志物的预测价值仍存在,反驳了只是靠情绪或年龄判断的质疑。
仅抑郁症状+ 年龄模型(图 2B):AUC 接近 0.5(随机水平),甚至复杂的随机森林模型 AUC 也未超过 0.55;这证明单靠问情绪好不好、看孩子多大,根本无法区分两组孩子,进一步凸显生物标志物的不可替代性。

图2. 抑郁症状 + 年龄对模型的影响
预测近期自杀未遂时模型性能下降,说明模型捕捉的是青少年长期自杀未遂生理易感性,而非急性风险。
总结以及临床意义
仅靠抑郁症状和年龄,几乎无法预测哪些孩子有自杀风险。在众多指标里,DHEA-S(硫酸脱氢表雄酮)水平偏高,以及 TSH(促甲状腺激素)水平偏低,与自杀未遂风险最相关。综合血液和唾液指标后,模型的预测效果优于单纯依赖心理症状。虽然准确率还不算完美,但已经显示了生物学信号在识别高危青少年中的潜力。
该研究结果还具有一定临床意义,提示了干预方向:针对 DHEA-S(如调节应激反应)、TSH(如监测甲状腺功能)相关机制开发干预措施,或为 NSSI 青少年自杀预防提供新靶点。
原文链接
https://doi.org/10.1038/s41386-025-02176-2Fink, E., Reichl, C., Lerch, S., Koenig, J., & Kaess (2025), M.A biological phenotype of suicide attempt in adolescents with nonsuicidal self-injury: a machine-based learning approach. Neuropsychopharmacology.
https://ieeexplore.ieee.org/document/10776133
研究团队介绍
本研究由瑞士伯尔尼大学儿童与青少年精神科与德国海德堡大学医院合作完成,通讯作者 Michael Kaess 教授是青少年自伤与自杀领域的国际知名专家。团队结合精神科临床与神经生物学检测,致力于为青少年心理健康建立更科学的风险评估方法。
关于维拓启创
维拓启创(北京)信息技术有限公司成立于2006年,是一家专注于脑科学、康复工程、人因工程、心理学、体育科学等领域的科研解决方案供应商。公司与国内外多所大学、研究机构、企业长期保持合作关系,致力于将优质的产品、先进的技术和服务带给各个领域的科研工作者,为用户提供有竞争力的方案和服务,协助用户的科研工作,持续提升使用体验。
相关产品






Advictor
了解更多产品详情,投稿发布
与合作,欢迎扫码咨询。